Номер 857 - ГДЗ Алгебра 8 класс. Мерзляк, Полонский. Учебник. Страница 217

Вернуться к содержанию учебника

Упражнения для повторения курса алгебры 8 класса. Страница 217

854 855 856 857 858 859 860

Вопрос

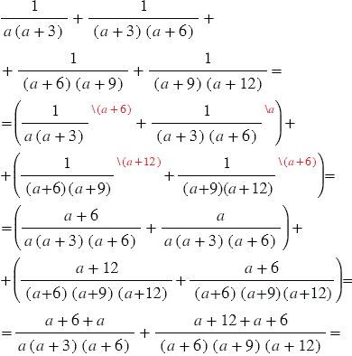
Упростите выражение:

Подсказка

Вспомните:

  1. Какую дробь называют рациональной.
  2. Основное свойство рациональной дроби.
  3. Что называют одночленом.
  4. Что называют многочленом.
  5. Сложение и вычитание рациональных дробей с разными знаменателями.
  6. Сложение и вычитание рациональных дробей с одинаковыми знаменателями.
  7. Подобные слагаемые, правила раскрытия скобок.

Ответ


Вернуться к содержанию учебника