Номер 783 - ГДЗ Алгебра 8 класс. Мерзляк, Полонский. Учебник. Страница 191

Вернуться к содержанию учебника

Упражнения §23. Страница 191

780 781 782 783 784 785 786

Вопрос

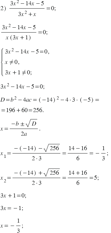
Решите уравнение:

Подсказка

Ответ


Вернуться к содержанию учебника