Задание 1235 - ГДЗ Геометрия 7-9 класс. Атанасян. Учебник

Старая и новая редакции

Вернуться к содержанию учебника

1232 1233 1234 1235 1236 1237 1238

Вопрос

Выберите год учебника

№1235 учебника 2013-2022 (стр. 238):

Изобразите параллелепипед АВСDА1В1С1D1 и постройте его сечение плоскостью BKL, где K - середина ребра АА1, а L - середина ребра СС1. Докажите, что построенное сечение параллелограмм.


№1235 учебника 2023-2024 (стр. 312):

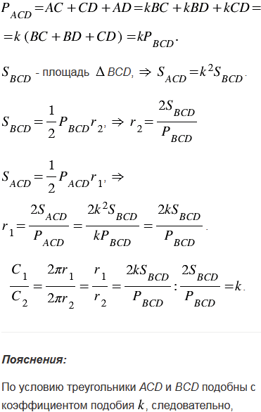
Высота прямоугольного треугольника, проведенная к гипотенузе, разделяет треугольник на два подобных треугольника (см. задачу, п. 71). Докажите, что отношение длин окружностей, вписанных в эти треугольники, равно коэффициенту подобия этих треугольников.

Подсказка

№1235 учебника 2013-2022 (стр. 238):

Вспомните:

  1. Что такое параллелепипед.
  2. Что такое параллелограмм.
  3. Признаки параллелограмма.
  4. Какая точка называется серединой отрезка.
  5. Что такое треугольник.
  6. Первый признак равенства треугольников.
  7. Какие треугольники называются равными.

№1235 учебника 2023-2024 (стр. 312):

Вспомните:

  1. Какой треугольник называется прямоугольным.
  2. Как найти периметр треугольника.
  3. Что такое высота треугольника.
  4. Какая окружность называется вписанной в треугольник, как найти площадь описанного треугольника.
  5. Какие треугольники называются подобными.
  6. Какие отрезки называются пропорциональными.
  7. Теорему об отношении площадей подобных треугольников.
  8. Как найти длину окружности.

Ответ

№1235 учебника 2013-2022 (стр. 238):


№1235 учебника 2023-2024 (стр. 312):


Вернуться к содержанию учебника