Задание 1087 - ГДЗ Геометрия 7-9 класс. Атанасян. Учебник

Старая и новая редакции

Вернуться к содержанию учебника

1084 1085 1086 1087 1088 1089 1090

Вопрос

Выберите год учебника

№1087 учебника 2013-2022 (стр. 276):

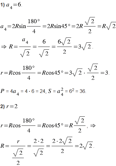
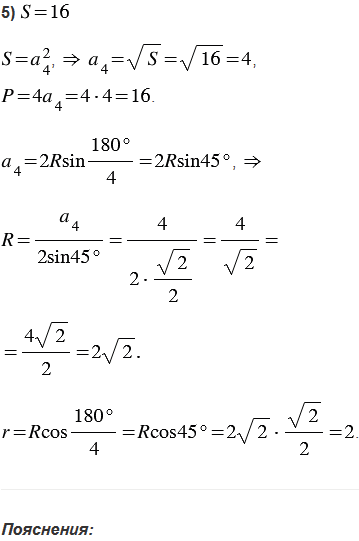
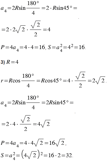
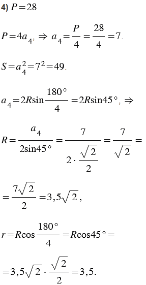
На рисунке 311, изображен квадрат, вписанный в окружность радиуса R. Перечертите таблицу в тетрадь и заполните пустые клетки ( - сторона квадрат, Р - периметр квадрата, S - его площадь, r - радиус вписанной окружности).

R r P S
1     6    
2   2      
3 4        
4       28  
5         16


№1087 учебника 2023-2024 (стр. 270):

Выясните, какие из данных уравнений являются уравнениями окружности. Найдите координаты центра и радиус каждой окружности.

а) ( - 1)2 + ( + 2)2 = 25;

б) 2 +( + 7)2 = 1;

в) 2 + 2 + 8 - 4 + 40 = 0;

г) 2 + 2 - 2 + 4 - 20 = 0;

д) 2 + 2 - 4 - 2 + 1 = 0.

Подсказка

№1087 учебника 2013-2022 (стр. 276):

Вспомните:

  1. Какой четырехугольник называется квадратом, его периметр, площадь.
  2. Какой многоугольник называется правильным.
  3. Какая окружность называется вписанной в многоугольник, описанной около многоугольника.
  4. Формулы для вычисления площади правильного многоугольника, его стороны и радиуса вписанной окружности.
  5. Значения синуса и косинуса для угла 450.

№1087 учебника 2023-2024 (стр. 270):

Вспомните:

  1. Что такое окружность.
  2. Уравнение окружности.

Ответ

№1087 учебника 2013-2022 (стр. 276):


№1087 учебника 2023-2024 (стр. 270):


Вернуться к содержанию учебника