Задание 1074 - ГДЗ Геометрия 7-9 класс. Атанасян. Учебник

Старая и новая редакции

Вернуться к содержанию учебника

1071 1072 1073 1074 1075 1076 1077

Вопрос

Выберите год учебника

№1074 учебника 2013-2022 (стр. 269):

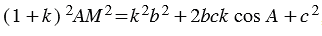
Точка М лежит на стороне ВС треугольника АВС и ВМ = МС. Докажите, что , где = АС, = АВ.


№1074 учебника 2023-2024 (стр. 267):

Дан прямоугольник ABCD. Найдите множество всех точек М, для каждой из которых

(AM2 + DM2) - (BM2 + CM2) = 2AB2.

Подсказка

№1074 учебника 2013-2022 (стр. 269):

Вспомните:

  1. Что такое треугольник.
  2. Правило треугольника сложения векторов.
  3. Умножение вектора на число.

№1074 учебника 2023-2024 (стр. 267):

Вспомните:

  1. Что такое прямая.
  2. Что такое прямоугольник.
  3. Что такое система координат.
  4. Как определить координаты точки.
  5. Что называется уравнением линии.
  6. Какой вид имеет уравнение прямой.

Ответ

№1074 учебника 2013-2022 (стр. 269):

Решение задачи приведено в учебнике.


№1074 учебника 2023-2024 (стр. 267):


Вернуться к содержанию учебника