Номер 536 - ГДЗ Алгебра 8 класс. Мерзляк, Полонский. Учебник. Страница 138

Вернуться к содержанию учебника

Упражнения §17. Страница 138

533 534 535 536 537 538 539

Вопрос

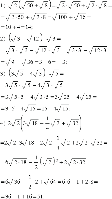
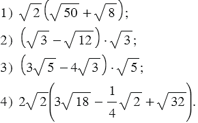
Упростите выражение:

Подсказка

Ответ


Вернуться к содержанию учебника