Вернуться к содержанию учебника
Упражнения § 11. Страница 94
364 365 366 367 368 369 370 371 372 373 374
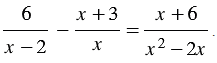
Решите уравнение:
Вспомните: