Номер 10 - ГДЗ Алгебра 7 класс. Мерзляк, Полонский. Учебник. Страница 8

Вернуться к содержанию учебника

Страница 8

7 8 9 10 11 12 13

Вопрос

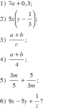
Какие из данных выражений являются целыми:

Подсказка

Вспомните:

  1. Буквенные и числовые выражения.
  2. Какие выражения называют алгебраическими.
  3. Какие алгебраические выражения называют целыми.

Ответ

7 8 9 10 11 12 13


Вернуться к содержанию учебника