Вернуться к содержанию учебника
Выберите год учебника
Стр. 30 учебника 2011-2022:
109. Объясни по записи, как выполнили деление 3 570 : 90. Назови частное и остаток.

Стр. 30 учебника 2023-2024:
100. Из 2 м полотна получается 3 наволочки. Сколько таких наволочек получится из 42 м полотна?

Стр. 30 учебника 2011-2022:
3 570 : 90
Объяснение:
Первое неполное делимое - 357 десятков. В записи частного будет 2 цифры.
Разделю 357 на 90. Для этого разделю 35 на 9, получу 3 - столько десятков будет в частном.
Умножу 90 на 3, получу 270 - столько десятков разделили.
Вычту 270 из 357, получу 87 - столько десятков осталось разделить.
Сравню остаток с делителем: десятков осталось меньше, чем 90.
Второе неполное делимое - 870 единиц.
Разделю 870 на 90. Для этого разделю 81 на 9, получу 9 - столько единиц будет в частном.
Умножу 90 на 9, получу 810 - столько единиц разделили.
Вычту 810 из 870, получу 60 - столько единиц осталось разделить.
Сравню остаток с делителем: единиц осталось меньше, чем 90.
Читаю ответ: частное равно 39, остаток 60.
Стр. 30 учебника 2023-2024:
Решение
1) 42 : 2 = 21 (р.) - по 2 м.
2) 21 • 3 = 63 (н.)
Ответ: 63 наволочки из 42 м полотна.
Пояснение
Из 2 м полотна получается 3 наволочки. У нас есть 42 м полотна. Вычислим, сколько раз по 2 м получится из 42 м полотна:
1) 42 : 2 = 21 (р.)
Взяли 21 раз по 2 м. Так как из 2 м получается 3 наволочки, узнаем, сколько получится наволочек из 42 м:
2) 21 • 3 = 63 (н.)
Выберите год учебника
Стр. 30 учебника 2011-2022:
110.
| 47 360 : 80 | 3 340 : 20 |
| 33 210 : 90 | 6 020 : 70 |
| 750 : 50 - 40 : 5 | |
| 360 : 60 + 20 : 1 | |
Стр. 30 учебника 2023-2024:
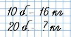
101. В 10 одинаковых банках 16 кг мёда. Сколько килограммов мёда в 20 таких банках?
Стр. 30 учебника 2011-2022:
Решение
![]() | ![]() |
![]() | ![]() |
| 750 : 50 - 40 : 5 = 7 | |
| 360 : 60 + 20 : 1 = 26 | |
Пояснение
|
2) 40 : 5 = 8 3) 15 - 8 = 7 | |||||||||||||||||||||||||||||||||||||||||||
|
1) 360 : 60 = 6 2) 20 : 1 = 20 3) 6 + 20 = 26 |
Пишу: 6020 : 70.
Первое неполное делимое - 602 десятка. В записи частного будет 2 цифры.
Разделю 602 на 70. Для этого разделю 60 на 7, получу 8 - столько десятков будет в частном.
Умножу 70 на 8, получу 560 - столько десятков разделили.
Вычту 560 из 602, получу 42 - столько десятков осталось разделить.
Сравню остаток с делителем: десятков осталось меньше, чем 70.
Второе неполное делимое - 420 единиц.
Разделю 420 на 70. Для этого разделю 42 на 7, получу 6 - столько единиц будет в частном.
Умножу 70 на 6, получу 420 - все единицы разделили.
Читаю ответ: частное равно 86.
Далее рассуждаю аналогично.
Стр. 30 учебника 2023-2024:
Решение
1) 20 : 10 = 2 (р.) - больше банок.
2) 16 • 2 = 32 (кг)
Ответ: 32 кг мёда в 20 таких банках.
Пояснение

Во сколько раз больше 20 банок, чем 10 банок?
1) 20 : 10 = 2 (р.)
Сколько килограммов мёда в 20 таких банках?
2) 16 • 2 = 32 (кг)
Известно, сколько килограммов мёда в 10 банках, нужно узнать, сколько килограммов мёда в 20 таких банках. Вычислим, во сколько раз больше 20 банок, чем 10 банок:
1) 20 : 10 = 2 (р.)
В 10 одинаковых банках 16 кг мёда. В 20 таких банках в 2 раза больше мёда. Узнаем, сколько мёда в 20 банках:
2) 16 • 2 = 32 (кг)
Выберите год учебника
Стр. 30 учебника 2011-2022:
111. Выполни деление с остатком.
| 7 940 : 40 | 47 350 : 60 |
| 6 780 : 90 | 23 070 : 40 |
Стр. 30 учебника 2023-2024:
102. Из двух городов выехали одновременно навстречу друг другу два мотоциклиста. Один из них двигался со скоростью 70 км/ч и проехал до встречи 140 км, а другой двигался со скоростью 65 км/ч.
Стр. 30 учебника 2011-2022:
Повтори, как выполнять деление с остатком.
Стр. 30 учебника 2023-2024:
Повтори взаимосвязь между скоростью, временем и расстоянием и как решать обратные задачи.
Стр. 30 учебника 2011-2022:
Решение
![]() | ![]() |
![]() | ![]() |
Пояснение
Пишу: 7 940 : 40.
Первое неполное делимое - 79 сотен. В записи частного будет 3 цифры.
Разделю 79 на 40. Для этого разделю 7 на 4, получу 1 - столько сотен будет в частном.
Умножу 40 на 1, получу 40 - столько сотен разделили.
Вычту 40 из 79, получу 39 - столько сотен осталось разделить.
Сравню остаток с делителем: сотен осталось меньше, чем 40.
Второе неполное делимое - 394 десятка.
Разделю 394 на 40. Для этого разделю 39 на 4, получу 9 - столько десятков будет в частном.
Умножу 40 на 9, получу 360 - столько десятков разделили.
Вычту 360 из 394, получу 34 - столько десятков осталось разделить.
Сравню остаток с делителем: десятков осталось меньше, чем 40.
Третье неполное делимое - 340 единиц.
Разделю 340 на 40. Для этого разделю 34 на 4, получу 8 - столько единиц будет в частном.
Умножу 40 на 8, получу 320 - столько единиц разделили.
Вычту 320 из 340, получу 20 - столько единиц осталось разделить.
Сравню остаток с делителем: единиц осталось меньше, чем 40.
Читаю ответ: частное равно 198, остаток 20.
Пишу: 6 780 : 90.
Первое неполное делимое - 678 десятков. В записи частного будет 2 цифры.
Разделю 678 на 90. Для этого разделю 67 на 9, получу 7 - столько десятков будет в частном.
Умножу 90 на 7, получу 630 - столько десятков разделили.
Вычту 630 из 678, получу 48 - столько десятков осталось разделить.
Сравню остаток с делителем: десятков осталось меньше, чем 90.
Второе неполное делимое - 480 единиц.
Разделю 480 на 90. Для этого разделю 48 на 9, получу 5 - столько единиц будет в частном.
Умножу 90 на 5, получу 450 - столько единиц разделили.
Вычту 450 из 480, получу 30 - столько единиц осталось разделить.
Сравню остаток с делителем: единиц осталось меньше, чем 90.
Читаю ответ: частное равно 75, остаток 30.
Пишу: 47 350 : 60.
Первое неполное делимое - 473 сотен. В записи частного будет 3 цифры.
Разделю 473 на 60. Для этого разделю 47 на 6, получу 7 - столько сотен будет в частном.
Умножу 60 на 7, получу 420 - столько сотен разделили.
Вычту 420 из 473, получу 53 - столько сотен осталось разделить.
Сравню остаток с делителем: сотен осталось меньше, чем 60.
Второе неполное делимое - 535 десятка.
Разделю 535 на 60. Для этого разделю 53 на 6, получу 8 - столько десятков будет в частном.
Умножу 60 на 8, получу 480 - столько десятков разделили.
Вычту 480 из 535, получу 55 - столько десятков осталось разделить.
Сравню остаток с делителем: десятков осталось меньше, чем 60.
Третье неполное делимое - 550 единиц.
Разделю 550 на 60. Для этого разделю 55 на 6, получу 9 - столько единиц будет в частном.
Умножу 60 на 9, получу 540 - столько единиц разделили.
Вычту 540 из 550, получу 10 - столько единиц осталось разделить.
Сравню остаток с делителем: единиц осталось меньше, чем 60.
Читаю ответ: частное равно 789, остаток 10.
Пишу: 23 070 : 40.
Первое неполное делимое - 230 сотен. В записи частного будет 3 цифры.
Разделю 230 на 40. Для этого разделю 23 на 4, получу 5 - столько сотен будет в частном.
Умножу 40 на 5, получу 200 - столько сотен разделили.
Вычту 200 из 230, получу 30 - столько сотен осталось разделить.
Сравню остаток с делителем: сотен осталось меньше, чем 40.
Второе неполное делимое - 307 десятков.
Разделю 307 на 40. Для этого разделю 30 на 4, получу 7 - столько десятков будет в частном.
Умножу 40 на 7, получу 280 - столько десятков разделили.
Вычту 280 из 307, получу 27 - столько десятков осталось разделить.
Сравню остаток с делителем: десятков осталось меньше, чем 40.
Третье неполное делимое - 270 единиц.
Разделю 270 на 40. Для этого разделю 27 на 4, получу 6 - столько единиц будет в частном.
Умножу 40 на 6, получу 240 - столько единиц разделили.
Вычту 240 из 270, получу 30 - столько единиц осталось разделить.
Сравню остаток с делителем: единиц осталось меньше, чем 40.
Читаю ответ: частное равно 576, остаток 40.
Стр. 30 учебника 2023-2024:
Решение
1) 140 : 70 = 2 (ч) - двигались мотоциклисты.
2) 65 • 2 = 130 (км) - проехал второй мотоциклист.
3) 140 + 130 = 270 (км)
Ответ: расстояние между городами - 270 км.
Обратная задача 1:
Расстояние между городами - 270 км. Из них выехали одновременно навстречу друг другу два мотоциклиста и встретились через 2 ч. Один из них двигался со скоростью 70 км/ч. Найди скорость второго мотоциклиста.
1) 270 : 2 = 135 (км/ч) - скорость сближения.
| - | 2 | 7 | 0 | 2 | |||||||||||
| 2 | 1 | 3 | 5 | ||||||||||||
| - | 7 | ||||||||||||||
| 6 | |||||||||||||||
| - | 1 | 0 | |||||||||||||
| 1 | 0 | ||||||||||||||
| 0 |
2) 135 - 70 = 65 (км/ч)
Ответ: скорость второго мотоциклиста - 65 км/ч.
Обратная задача 2:
Расстояние между городами - 270 км. Из них выехали одновременно навстречу друг другу два мотоциклиста и встретились через 2 ч. Один из них двигался со скоростью 65 км/ч. Найди скорость второго мотоциклиста.
1) 270 : 2 = 135 (км/ч) - скорость сближения.
| - | 2 | 7 | 0 | 2 | |||||||||||
| 2 | 1 | 3 | 5 | ||||||||||||
| - | 7 | ||||||||||||||
| 6 | |||||||||||||||
| - | 1 | 0 | |||||||||||||
| 1 | 0 | ||||||||||||||
| 0 |
2) 135 - 65 = 70 (км/ч)
Ответ: скорость второго мотоциклиста - 65 км/ч.
Пояснение

Чтобы найти время в пути, нужно расстояние разделить на скорость:
1) 140 : 70 = 2 (ч)
Чтобы найти расстояние, которое проехал второй мотоциклист, нужно скорость умножить на время:
2) 65 • 2 = 130 (км)
Первый мотоциклист проехал до встречи 140 км, а второй - 130 км. Вычислим расстояние между городами:
3) 140 + 130 = 270 (км)
Выберите год учебника
Стр. 30 учебника 2011-2022:
112. На завод отправлено 3 600 т угля в вагонах, по 60 т в каждом, и столько же угля в вагонах, по 90 т в каждом. Каких вагонов потребовалось больше и на сколько больше?
Стр. 30 учебника 2023-2024:
103. Запиши равенства и неравенства, проверь, верны ли они.
1) Произведение чисел 293 и 70 равно разности чисел 2900 и 849.
2) Сумма чисел 9 391 и 7 028 равна частному чисел 82 095 и 5.
3) Частное чисел 70 236 и 9 меньше их разности.
4) Произведение чисел 8 019 и 7 больше их суммы.
Стр. 30 учебника 2011-2022:
Решение
1) 3 600 : 60 = 60 (в.) - по 60 т.
2) 3 600 : 90 = 40 (в.) - по 90 т.
3) 60 в. > 40 в.
60 - 40 = 20 (в.)
Ответ: потребовалось на 20 вагонов по 60 т больше, чем вагонов по 90 т.
Пояснение

Сколько потребовалось вагонов по 60 т?
1) 3 600 : 60 = 60 (в.)
Сколько потребовалось вагонов по 90 т?
2) 3 600 : 90 = 40 (в.)
На сколько больше потребовалось вагонов по 60 т?
3) 60 - 40 = 20 (в.)
На завод отправлено 3 600 т угля в вагонах, по 60 т в каждом. Вычислим, сколько потребуется вагонов по 60 т:
1) 3 600 : 60 = 60 (в.)
На завод отправлено 3 600 т угля в вагонах, по 90 т в каждом. Вычислим, сколько потребуется вагонов по 90 т:
2) 3 600 : 90 = 40 (в.)
Потребовалось 60 вагонов по 60 т и 40 вагонов по 90 т. Вычислим, на сколько больше потребовалось вагонов по 60 т:
3) 60 - 40 = 20 (в.)
Стр. 30 учебника 2023-2024:
Решение
1) 293 • 70 = 2 900 - 849 - неверно.
| 293 • 70 = 20 510
| |||||||||||||||||||
| 2 900 - 849 = 2 051
|
20 510 > 2 051
2) 9 391 + 7 028 = 82 095 : 5 - верно.
| 9 391 + 7 028 = 16 419
| |||||||||||||||||||||||||||||||||||||||||||||||||||||||||||||||||||||||||||||||||||||||||||||||||||||||||||||||||||||||||||||||||||||||||||||||||||||
| 82 095 : 5 = 16 419
|
3) 70 236 : 9 < 70 236 - 9 - верно.
| 70 236 : 9 = 7 804
| |||||||||||||||||||||||||||||||||||||||||||||||||||||||||||||||||||||||||||||||||
| 70 236 - 9 = 70 227
|
7 804 < 70 227
4) 8 018 • 7 > 8 018 + 7 - верно.
| 8 018 • 7 = 56 126
| 8 018 + 7 = 8 025
|
56 126 > 8 025
Выберите год учебника
Стр. 30 учебника 2011-2022:
113. За 8 мин самолёт, двигаясь с одинаковой скоростью, пролетел 96 км. Какое расстояние он пролетит за 40 мин, если его скорость увеличится на 2 км/мин?
Стр. 30 учебника 2023-2024:
104. Выполни деление с остатком и проверь решение.
1 724 : 10
2 540 : 100
65 032 : 1 000
Стр. 30 учебника 2011-2022:
Повтори взаимосвязь между скоростью, временем и расстоянием.
Стр. 30 учебника 2023-2024:
Повтори, как выполнять деление с остатком.
Стр. 30 учебника 2011-2022:
Решение
1) 96 : 8 = 12 (км/мин) - скорость самолёта.
2) 12 + 2 = 14 (км/мин) - новая скорость самолёта.
3) 14 • 40 = 560 (км)
Ответ: 560 км пролетит самолёт за 40 мин.
Пояснение

Какова скорость самолёта?
1) 96 : 8 = 12 (км/мин)
Какой будет скорость самолёта?
2) 12 + 2 = 14 (км/мин)
Какое расстояние пролетит самолёт за 40 мин?
3) 14 • 40 = 560 (км)
За 8 мин самолёт пролетел 96 км. Чтобы найти скорость самолёта, нужно расстояние разделить на время:
1) 96 : 8 = 12 (км/мин)
Скорость самолёта - 12 км/мин. Его скорость увеличится на 2 км/мин. Вычислим новую скорость самолёта:
2) 12 + 2 = 14 (км/мин)
Скорость самолёта 14 км/мин. Время полёта - 40 мин. Чтобы найти расстояние, нужно скорость умножить на время:
3) 14 • 40 = 560 (км)
Стр. 30 учебника 2023-2024:
Решение
1 724 : 10 = 172 (ост. 4)
2 540 : 100 = 23 (ост. 40)
65 032 : 1 000 = 65 (ост. 32)
Пояснение
1 724 : 10.
Без остатка 1 724 на 10 не разделится. Разделим 1 720 на 10. Получим 172. Это - частное, а остаток 4:
1 724 : 10 = 172 (ост. 4)
2 540 : 100.
Без остатка 2 540 на 100 не разделится. Разделим 2 500 на 100. Получим 25. Это - частное, а остаток 40:
2 540 : 100 = 25 (ост. 40)
65 032 : 1 000.
Без остатка 65 032 на 1 000 не разделится. Разделим 65 000 на 1 000. Получим 650. Это - частное, а остаток 32:
65 032 : 1 000 = 65 (ост. 32)
Выберите год учебника
Стр. 30 учебника 2011-2022:
Выполни деление с остатком и сделай проверку.
48 900 : 80
Стр. 30 учебника 2023-2024:
105.
| 140 : 20 | 8 100 : 900 |
| 560 : 7 | 3 200 : 800 |
| 500 + (600 - 3 • 100) : 10 | |
| 9 000 : (100 - 90) : 9 • 2 | |
Стр. 30 учебника 2011-2022:
Решение

Пояснение
Проверка:
1) Остаток должен быть меньше делителя.
2) Умножим частное на делитель.
3) Прибавим к результату остаток. Сумма должна быть равна делимому.
Стр. 30 учебника 2023-2024:
Решение
| 140 : 20 = 7 | 8 100 : 900 = 9 |
| 560 : 7 = 80 | 3 200 : 800 = 4 |
| 500 + (600 - 3 • 100) : 10 = 530 | |
| 9 000 : (100 - 90) : 9 • 2 = 200 | |
Пояснение
| 140 : 20 = 14 дес. : 2 дес. = 7 |
| 560 : 7 = 56 дес. : 7 = 8 дес. = 80 |
| 8 100 : 900 = 81 сот. : 9 сот. = 9 |
| 3 200 : 800 =32 сот. : 8 сот. = 4 |
|
1) 3 • 100 = 300 2) 600 - 300 = 300 3) 300 : 10 = 30 4) 500 + 30 = 530 |
|
1) 100 - 90 = 10 2) 9000 : 10 = 900 3) 900 : 9 = 100 4) 100 • 2 = 200 |
Выберите год учебника
Стр. 30 учебника 2011-2022:
Начерти узор

Стр. 30 учебника 2023-2024:
106. У моей мамы рост 164 см. Мой брат на 16 см выше мамы, а я пока на 8 см ниже мамы. Какой у меня рост? Сделай схематический чертёж к задаче и определи, на сколько сантиметров брат выше меня.
Стр. 30 учебника 2011-2022:
Повтори, что такое прямая и окружность.
Стр. 30 учебника 2023-2024:
Повтори единицу длины - сантиметр.
Стр. 30 учебника 2011-2022:
Решение

Пояснение
1. Проведи вертикальную прямую.
2. Начерти полуокружности. Каждая следующая полуокружность начинается от центра полуокружности напротив.
3. Раскрась.
Стр. 30 учебника 2023-2024:
Решение
1) 164 - 8 = 156 (см) - мой рост.
| • | |||
| - | 1 | 6 | 4 |
| 8 | |||
| 1 | 5 | 6 |
2) 16 + 8 = 24 (см)
Ответ: мой рост - 156 см, брат выше меня на 24 см.

Пояснение
Рост мамы - 164 см, а мой - на 8 см меньше. Вычислим мой рост:
1) 164 - 8 = 156 (см)
Мой рост на 8 см меньше, чем рост мамы, а рост брата на 16 см больше, чем рост мамы. Значит, разница между моим ростом и ростом брата (16 + 8) см. Вычислим её:
2) 16 + 8 = 24 (см)
Сумма трёх чисел 2 010. Первое слагаемое 980, оно в 2 раза больше второго. Найди третье слагаемое.
Решение
1) 980 : 2 = 490 - второе слагаемое.
| - | 9 | 8 | 0 | 2 | |||||||||||
| 8 | 4 | 9 | 0 | ||||||||||||
| - | 1 | 8 | |||||||||||||
| 1 | 8 | ||||||||||||||
| 0 |
2) 980 + 490 = 1 470 - первое и второе слагаемое вместе.
| + | 9 | 8 | 0 | |
| 4 | 9 | 0 | ||
| 1 | 4 | 7 | 0 |
3) 2 010 - 1 470 = 540
| • | • | |||
| - | 2 | 0 | 1 | 0 |
| 1 | 4 | 7 | 0 | |
| 5 | 4 | 0 |
Ответ: третье слагаемое - 540.
Пояснение

Первое слагаемое 980, оно в 2 раза больше второго. Вычислим второе слагаемое:
1) 980 : 2 = 490
Первое слагаемое 980, второе - 490. Найдём их сумму:
2) 980 + 490 = 1 470
Сумма трёх чисел - 2 010. Сумма первых двух слагаемых - 1 470. Вычислим третье слагаемое:
3) 2 010 - 1 470 = 540

Решение
Треугольник = 68.
Квадрат = 38.
Круг = 30.
Пояснение
Во втором равенстве число, которое спряталось за треугольником, является уменьшаемым. Чтобы найти уменьшаемое, нужно к разности прибавить вычитаемое:
50 + 18 = 68.
В первом равенстве число, которое спряталось за квадратом, является вторым слагаемым. Чтобы найти второе слагаемое, нужно из суммы вычесть первое слагаемое:
68 - 30 = 38.
В третьем равенстве число, которое спряталось за кругом, является вторым слагаемым. Чтобы найти второе слагаемое, нужно из суммы вычесть первое слагаемое:
68 - 38 = 30.
Вернуться к содержанию учебника