Страница 79 - ГДЗ Математика 4 класс. Моро, Бантова. Учебник часть 1

Старая и новая редакции

Вернуться к содержанию учебника

76 77 78 79 80 81 82

Вопрос

Выберите год учебника

Стр. 79 учебника 2011-2022:

350.

420 • 8 30 700 • 9
390 • 3 20 080 • 7
4 700 • 5 5 000 - 786 • 4
6 800 • 6 4 329 + 932 • 8

Стр. 79 учебника 2023-2024:

354.

420 • 8 30 700 • 9
390 • 3 20 080 • 7
4 700 • 5 5 000 - 786 • 4
6 800 • 6 4 329 + 932 • 8

Подсказка

Повтори алгоритм письменного умножения трёхзначных и многозначных чисел на однозначное.

Ответ

Решение

5 000 - 786 • 4 = 1 856
4 329 + 932 • 8 = 11 785

Пояснение

420 • 8 - это 42 дес. • 8. Так как при умножении на ноль любого числа получается 0, то записываем 8 под последним числом, отличным от нуля.

В остальных случаях рассуждаем аналогично.


1) × 7 8 6
      4
  3 1 4 4

 

     
2) - 5 0 0 0
  3 1 4 4
    1 8 5 6

1) × 9 3 2
      8
  7 4 5 6

 

2) +   4 3 2 9
    7 4 5 6
    1 1 7 8 5

Вопрос

Выберите год учебника

Стр. 79 учебника 2011-2022:

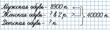
351. На фабрике за месяц изготовили 40 000 пар обуви: мужской обуви - 8 900 пар, женской - в 2 раза больше, чем мужской, остальная обувь - детская. Сколько пар детской обуви изготовили за этот месяц?


Стр. 79 учебника 2023-2024:

355. На фабрике за месяц изготовили 40 000 пар обуви: мужской обуви - 8 900 пар, женской - в 2 раза больше, чем мужской, остальная обувь - детская. Сколько пар детской обуви изготовили за этот месяц?

Подсказка

Повтори алгоритм письменного сложения, вычитания и умножения многозначных чисел, а также способы оформления краткой записи к задаче.

Ответ

Решение

1) 8 900 • 2 = 17 800 (п.) - женской обуви.

  × 8 9 0 0
    2    
  1 7 8 0 0

2) 17 800 + 8 900 = 26 700 (п.) - женской и мужской обуви вместе.

+ 1 7 8 0 0
  8 9 0 0
  2 6 7 0 0

3) 40 000 - 26 700 = 13 300 (п.)

       
- 4 0 0 0 0
2 6 7 0 0
  1 3 3 0 0

Ответ: 13 300 пар детской обуви изготовили за месяц на фабрике.


Пояснение

Сколько пар женской обуви изготовили на фабрике?

1) 8 900 • 2 = 17 800 (п.)

Сколько пар женской и мужской обуви всего изготовили на фабрике?

2) 17 800 + 8 900 = 26 700 (п.)

Сколько пар детской обуви изготовили за этот месяц?

3) 40 000 - 26 700 = 13 300 (п.)


На фабрике изготовили 8 900 пар мужской обуви, а женской - в 2 раза больше. Вычислим, сколько пар женской обуви изготовили на фабрике:

1) 8 900 • 2 = 17 800 (п.)

На фабрике за месяц изготовили 17 800 пар женской обуви и 8 900 пар мужской обуви. Вычислим, сколько всего пар женской и мужской обуви изготовили на фабрике:

2) 17 800 + 8 900 = 26 700 (п.)

На фабрике за месяц изготовили 40000 пар, из них 26 700 - женская и мужская обувь, а остальное - детская обувь. Узнаем, сколько пар детской обуви изготовили за этот месяц:

3) 40 000 - 26 700 = 13 300 (п.)

Вопрос

Выберите год учебника

Стр. 79 учебника 2011-2022:

352. На сахарный завод привезли 80 машин свёклы, по 3 т на каждой. Сколько сахара изготовили из этой свёклы, если масса сахара составляет шестую часть массы свёклы?


Стр. 79 учебника 2023-2024:

356. На сахарный завод привезли 80 машин свёклы, по 3 т на каждой. Сколько сахара изготовили из этой свёклы, если масса сахара составляет шестую часть массы свёклы?

Подсказка

Повтори случаи внетабличного умножения и деления, а также способы оформления краткой записи к задаче.

Ответ

Решение

1) 3 • 80 = 240 (т) - свёклы привезли.

2) 240 : 6 = 40 (т)

Ответ: 40 т сахара изготовили из этой свёклы.


Пояснение

Сколько тонн свёклы привезли на завод?

1) 3 • 80 = 240 (т)

Сколько тонн сахара изготовили из этой свёклы?

2) 240 : 6 = 40 (т)


На сахарный завод привезли 80 машин свёклы, по 3 т на каждой. Узнаем, какое количество свёклы привезли на завод:

1) 3 • 80 = 240 (т)

На завод привезли 240 т свёклы. Масса сахара составляет шестую часть массы свёклы. Одна шестая часть обозначает, что целое число разделили на 6 частей и взяли одну такую часть. Вычислим массу сахара:

2) 240 : 6 = 40 (т)

Вопрос

Выберите год учебника

Стр. 79 учебника 2011-2022:

353. Купили 6 одинаковых стульев за k р. Сколько стоят 4 кресла, если каждое из них в 3 раза дороже стула? Запиши решение в виде выражения.


Стр. 79 учебника 2023-2024:

357. Купили 6 одинаковых стульев за k р. Сколько стоят 4 кресла, если каждое из них в 3 раза дороже стула? Запиши решение в виде выражения.

Подсказка

Повтори соотношение между ценой, количеством и стоимостью.

Ответ

Решение

k : 6 • 3 • 4


Пояснение

Купили 6 одинаковых стульев за k р. Вычислим цену каждого стула:

k : 6 (р.)

Кресло стоит в 3 раза дороже стула. Вычислим цену кресла:

k : 6 • 3 (р.)

Узнаем стоимость четырёх кресел:

k : 6 • 3 • 4 (р.)

Вопрос

Выберите год учебника

Стр. 79 учебника 2011-2022:

354. Найди остаток и проверь вычисления.

789 : 8 = 98 (ост. )

39 : 40 = 0 (ост. )

327 : 6 = 54 (ост. )

97 : 95 = (ост. )


Стр. 79 учебника 2023-2024:

358. Найди остаток и проверь вычисления.

789 : 8 = 98 (ост. )

39 : 40 = 0 (ост. )

327 : 6 = 54 (ост. )

97 : 95 =  (ост. )

Подсказка

Повтори, как выполнять деление с остатком.

Ответ

789 : 8 = 98 (ост. 5)

39 : 40 = 0 (ост. 39)

327 : 6 = 54 (ост. 3)

97 : 95 = 1 (ост. 2)


Пояснение

Вопрос

Выберите год учебника

Стр. 79 учебника 2011-2022:

355. Вырази:

1) в минутах: 3 ч 45 мин, 6 ч 40 мин;

2) в секундах: 5 мин 05 с, 10 мин;

3) в килограммах: 6 ц, 15 т, 7000 г.


Стр. 79 учебника 2023-2024:

359. Вырази:

1) в минутах: 3 ч 45 мин, 6 ч 40 мин;

2) в секундах: 5 мин 05 с, 10 мин;

3) в килограммах: 6 ц, 15 т, 7000 г.

Подсказка

Повтори единицы времени - час, минуту и секунду и единицы массы - тонну, центнер, килограмм и грамм.

Ответ

Решение

1) 3 ч 45 мин = 225 мин;

6 ч 40 мин = 400 мин.

2) 5 мин 05 с = 305 с;

10 мин = 600 с.

3) 6 ц = 600 кг;

15 т = 15 000 кг;

7 000 г = 7 кг.


Пояснение

1) 1 ч = 60 мин, поэтому

3 ч 45 мин = 3 • 60 + 45 = 180 + 45 =

= 225 мин;

6 ч 40 мин = 6 • 60 + 40 = 360 + 40 =

= 400 мин.

2) 1 мин = 60 с, поэтому

5 мин 05 с = 5 • 60 + 5 = 300 + 5 = 305 с;

10 мин = 10 • 60 = 600 с.

3) 1 ц = 100 кг, поэтому

6 ц = 6 • 100 = 600 кг.

1 т = 1 000 кг, поэтому

15 т = 15 • 1 000 = 15 000 кг.

1 кг = 1 000 г, поэтому

7 000 г = 7 000 : 1 000 = 7 кг.

Вопрос

Выберите год учебника

Стр. 79 учебника 2011-2022:

356. Если около каждого дома посадить по 9 саженцев, то не хватит 100 саженцев, а если по 5 саженцев, то 20 саженцев останется. Сколько домов? Сколько саженцев?


Стр. 79 учебника 2023-2024:

360. Если около каждого дома посадить по 9 саженцев, то не хватит 100 саженцев, а если по 5 саженцев, то 20 саженцев останется. Сколько домов? Сколько саженцев?

Подсказка

Повтори, как умножать и делить круглые числа.

Ответ

Решение

1) 9 - 5 = 4 (с.) - разница между количеством саженцев у одного дома.

2) 100 + 20 = 120 (с.) - забрали.

3) 120 : 4 = 30 (д.) - всего.

4) 5 • 30 + 20 = 170 (с.)

Ответ: 30 домов, 170 саженцев.


Пояснение

Предположим, что рядом с каждым домом было 9 саженцев в первом варианте, а во втором варианте - 5 саженцев, найдем разницу: 9 - 5 = 4. Получается, что от каждого дома мы забрали по 4 саженца. Получившимся числом саженцев, которые мы забрали, можно занять те дома, которым саженцев не хватило (не хватало 100 саженцев), а еще и останется 20. 100 + 20 = 120. То есть забрали 120 саженцев, от каждого дома по 4 дерева.

120 : 4 = 30 (д.)

То есть, если дать 30 домам по 5 саженцев, то останется 20 лишних саженцев.

5 • 30 + 20 = 150 + 20 = 170 (с.)

Вопрос

Вычисли.

460 • 8 7 320 • 5

Подсказка

Повтори алгоритм письменного умножения трёхзначных и многозначных чисел.

Ответ

Решение


Пояснение

460 • 8 - это 46 дес. • 8. Так как при умножении на ноль любого числа получается 0, то записываем 8 под последним числом, отличным от нуля.


7320 • 5 - это 732 дес. • 5. Так как при умножении на ноль любого числа получается 0, то записываем 5 под последним числом, отличным от нуля.

Вопрос

Ребус

Подсказка

Повтори алгоритм письменного умножения многозначных чисел.

Ответ

Решение


Пояснение

Первое число, которое при умножении на 5 даёт 5 - число 1. Но далее, при умножении десятков, мы получим 4 • 1 = 4, а в результате число 3, значит, число 1 в качестве второго множителя не подходит.

Второе число, которое при умножении на 5 даёт 5 - число 3. 5 • 3 = 15. 1 дес. прибавим к десяткам после умножения десятков.

Умножаю десятки: 4 • 3 = 12. К 12 прибавим 1 дес., который получен при умножении десятков: 12 + 1 = 13. 1 сот. прибавим к сотням после умножения сотен.

После того, как к сотням прибавили 1 сот., которая получена при умножении десятков, получилось в результате 9. 9 - 1 = 8. То есть при умножении какого-то числа на 3 в конце результата получилось 8. Это число 6, так как 6 • 3 = 18. 1 ед. тыс. запомню и прибавлю к единицам тысяч после умножения единиц тысяч.

После того, как какое-то число умножили на 3 и прибавили 1 ед. тыс., которая получилась при умножении единиц тысяч, получилось двузначное число с нулём на конце. Это число 3, так как 3 • 3 + 1 = 10.

Вернуться к содержанию учебника